Home | EndoTODAY | EndoATLAS

Beginner | ESA | Schedule | OPD

Seminars | Atlas | Recent | Links

EndoTODAY ³»½Ã°æ ±³½Ç


[2025-12. ëàÞÓìíÑÀ] - ðû

Previous | Next


[2025-12-2] 2025³â ÀÓ»ó½Ã¹Ä·¹À̼Ǽ¾ÅÍ¿¡¼­ ÁøÇàÇÏ´Â ³»½Ã°æ ÈÆ·ÃÀÌ ¸ðµÎ ¸¶¹«¸®µÇ¾ú°í feedbackÀÌ µµÂøÇÏ¿´½À´Ï´Ù. ±×°£ µµ¿Í ÁֽЏðµç ºÐ²² °¨»çµå¸³´Ï´Ù.


[2025-12-6] ¼­¿ï´ë À̰ÇÈñ Ȧ À§¾Ï forum¿¡ ´Ù³à¿Ô½À´Ï´Ù. KLASS symposium°ú ÇÔ²² ÁøÇàµÈ Çà»ç¿´½À´Ï´Ù. ´ÜÀÏ ±â°ü¿¡¼­ ÀÌó·³ ÈǸ¢ÇÑ forumÀ» 20³â ÀÌ»ó Áö¼ÓÇß´Ù´Â Á¡¿¡ °¨»çÀÇ ¶æÀ» ÀüÇÕ´Ï´Ù. Àú´Â ÀÚ°¡¸é¿ªÀ§¿° °­ÀǸ¦ Çß½À´Ï´Ù.

- ÀÌ ¸Þ¸ð¸¦ º¸°í ÇÑ ºÐ²²¼­ ÀǰßÀ» Áּ̽À´Ï´Ù. "AI¸¦ ³»½Ã°æ°Ë»ç¿¡ Ãß°¡Çϸé À°¾ÈÀ¸·Î¸¸ °Ë»çÇÏ´Â °Í¿¡ ºñÇØ ¾Ï ¹ß°ß È®·üÀÌ ´õ ³ô¾ÆÁø´Ù°í È«º¸Çϸ鼭 3¸¸¿øÀ» ´õ ¹Þˆf °÷µéÀÌ ¸¹Àºµ¥ °ú¿¬ ¿ÀÁøÀº ¾øÀ»±î ±Ã±ÝÇϱâ´Â ÇÏ´õ¶ó°í¿ä. ¹ý·ü¿µ¿ª¿¡¼­´Â AI°¡ ½ÇÁ¸ÇÏÁö ¾Ê´Â ÇãÀ§ÆÇ·Ê¸¦ ¸¹ÀÌ »ý¼ºÇس»¼­ Àý´ëÀûÀ¸·Î AI´Â ºÎ¼öÀûÀÎ ¸®¼­Ä¡¿ëÀ¸·Î¸¸ ¾²´Â ÆíÀÔ´Ï´Ù."

Cancer statistics ÃÖ±Ù ÀڷḦ º¸¾Ò½À´Ï´Ù. (Cancer Res Treat 2025, PDF)

Age specific incidence in 2022. Cancer Res Treat 2025

Age standardized incidence. Cancer Res Treat 2025

Age standardized mortality. Cancer Res Treat 2025

Screening rate. Cancer Res Treat 2025

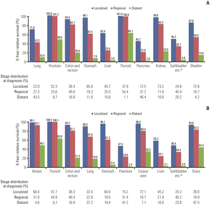
Five year relative survival. Cancer Res Treat 2025

Prevalent cases on 2023-1-1. Cancer Res Treat 2025

[2025-12-13] ¼Ûµµ¿¡¼­ live pig stomach ESD¸¦ ¸¶Áö¸·À¸·Î ¿ÃÇØÀÇ hands-on ±³À°À» ¸¶ÃƽÀ´Ï´Ù. ±×°£ µµ¿ÍÁֽЏ¹Àº ºÐµé²² °¨»çµå¸³´Ï´Ù.


© ÀÏ¿ø³»½Ã°æ±³½Ç ¹Ù¸¥³»½Ã°æ¿¬±¸¼Ò ÀÌÁØÇà. EndoTODAY Endoscopy Learning Center. Lee Jun Haeng. (since 1999-8-23)